山东费县职业中专学校(费县的中专学校)
来源:中国职校招生网 时间:2022-07-23 12:26:53
今天,市教育局公布
临沂市2020年具有举办学历教育资质的
中等职业学校及招生专业名单!
临沂家长和学生请看清楚!
临沂市2020年具有
举办学历教育资质的
中等职业学校及招生专业名单
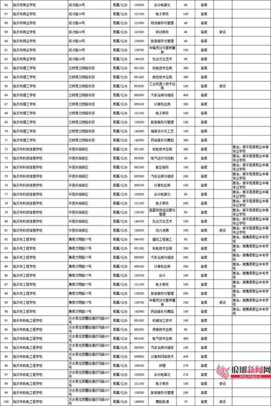
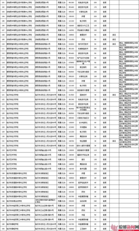
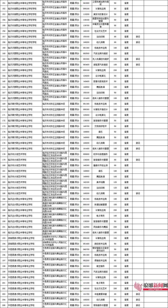
经省教育厅批准备案,临沂市2020年具有举办学历教育资质的中等职业学校26所,招生专业点205个,现向社会公布。
临沂市教育局
2020年5月28日
这26所学校如下!

这26所学校中,
4所学校已更名!

平邑县职业中等专业学校更名为临沂市科技信息学校
费县职业中专学校更名为临沂市工程学校
蒙阴县职业中等专业学校更名为蒙阴县智华职业中等专业学校
临沂市河东区职业中等专业学校更名为临沂市经济学校
26所,205个招生专业点详情如下
(点击图片查看大图)




上学,
选对学校是关键!
请扩散!周知!
来源 | 临沂市教育局 琅琊新闻网







